메뉴

전체기사

NEWS

산업·기업

오피니언

사람&사람

119플러스

119NEWS

소방 채용

포토&영상

사건·사고

안전관리 일일 상황

광고
주식회사 성화플러스 배너광고
광고
[강경석의 리튬이온 배터리(LIB) 이야기] 내부 단락 없이 열폭주가 발생할 수 있나요?
경기 구리소방서 강경석   |   2024.07.01 [09:00]

화재조사관에게 리튬이온 배터리 화재는 어려움과 쉬움 그사이 어딘가에 존재하는 미지의 영역이라는 느낌이 강하다. 물론 지금은 많은 관심과 함께 정보가 공유되면서 진입장벽이 낮아지고 접근성이 개선되고 있다.

 

하지만 대응 분야와 달리 화재조사 분야에서 리튬이온 배터리 관련 노력과 연구는 매우 더디기만 하다. 아니 진행되고 있긴 한 걸까? 

 

혹자는 자신이 전문가고 연구에 관한 결과가 있다고 하나 연구에 대한 검증과 평가가 이뤄지지 않아 자기주장에 머물러 있다. 소방의 모든 분야가 그렇듯 현장 경험에만 편중돼 시야가 매몰되는 문제가 발생한다. 

 

소방에 대한 많은 부분이 과학과 공학을 근간으로 한다는 걸 잊지 않아야 한다. 더욱이 화재조사 분야는 과학에 근거를 두는 업무 특성상 그 근거가 확실해야 한다. 

 

얼마 전 동료 조사관에게 궁금한 게 있다며 연락이 왔다. 

 

“리튬이온 배터리에서 불이 나면 결국 내부 단락 때문에 

열폭주가 발생하는 거 아니야? 그렇다면 분리막 때문일 거고…” 

 

자신이 정리한 생각을 신이 난 듯 설명하기 시작했다. 

 

“내 생각이 맞지? 틀린 거 아니지?” 

“그럴 수도 있고 아닐 수도 있어” 

 

어느 한 분야에서 박사와 같은 전문가가 되면 ‘Yes or No’와 같이 답변하기 힘든 경우가 생긴다. 수많은 변수와 환경 등에 따라 결과가 달라지는 경우가 많아 무조건적인 답을 하기 어렵기 때문이다.

 

화재조사관들에게 과학적인 근거를 확인(Survey)할 수 있는 체계와 훈련이 많지 않아 교과서를 벗어난 현장에서 난해함을 느끼고 단편적인 지식에 사로잡혀 억지스러운 논리를 만들어 내기도 한다. 

 

이 같은 연장선에서 열폭주를 발생시키는 필수 조건으로 내부 단락에 관해서만 주장하는 경우가 있다. 그렇다면 과연 내부 단락이 생기지 않으면 열폭주가 발생하지 않는 걸까? 그 근거를 찾아보자.

 

내부 단락 없는 리튬이온 배터리 열폭주

근거를 찾던 중 셀 프레스(Cell Press)의 에너지 분야 국제 학술지 ‘줄(Joule)’1)에 2018년 10월 18일 게재된 논문을 찾을 수 있었다. 제목 또한 ‘내부 단락 없는 리튬이온 배터리의 열폭주’로 열폭주 과정을 겪는 배터리를 액체질소로 급속 동결한 후 다양한 분석을 진행한 내용이다. 

 

분석 결과 심각한 내부 단락이 발생하지 않고 배터리 구성 요소 사이의 화학적 교차 반응으로 발생하는 숨겨진 열폭주 메커니즘을 밝혀냈다고 한다.

 

 

최근 휴대용 전자 기기와 전기 자동차의 폭발적인 성장으로 인해 니켈이 풍부한 양극인 하이니켈계 NCM이 사용되면서 더 높은 수준의 에너지 밀도를 구현하고 있다. 에너지 밀도 향상이라는 중요 개발 방향에도 배터리 안전은 여전히 주요 관심사다. 

 

리튬이온 배터리의 가장 치명적인 고장 모드는 열폭주다. 이는 어떤 희생을 치르더라도 피해야 하는 문제다. 하지만 이 상태는 여전히 과충전이나 내부 셀 단락, 차량 충돌로 인해 언제든지 발생할 수 있다는 불확실성을 내포한다. 

 

과거 연구자들은 열폭주 메커니즘을 이해하기 위해 배터리의 개별적인 구성 요소(양극, 음극, 분리막, 전해액)에 관해 연구했다. 분리막 수축 또는 불완전한 종료로 인해 전류 밀도가 의도치 않게 증가해 국지적인 추가 발열이 발생하거나 심지어 셀에 열폭주가 발생할 수 있다고 보고됐다. 따라서 높은 열 안정성을 갖춘 분리막을 준비하는 건 배터리 안전성을 향상할 하나의 방법으로 소개되고 있다. 

 

Roth 등은 세라믹 분리막을 갖춘 리튬이온 배터리가 내부 단락 없이 충전 상태의 300%까지 과충전을 견딜 수 있다고 보고했다. 더욱이 몇몇 연구자는 열적 안정성이 훨씬 더 뛰어난 새로운 소재나 구조를 갖춘 분리막을 개발했다. 

 

Freudenberg는 수백℃까지 안정적으로 유지되는 초박형 세라믹 PET(폴리에틸렌 테레프탈레이트) 부직포 분리막을 발표했다. 또 Miao 등은 500℃까지 열적으로 안정한 폴리이미드(PI) 나노섬유 분리막을 보고했다. 

 

결과만 놓고 보면 분리막을 통해 안정성을 담보할 수 있을 거란 생각이 든다. 하지만 여전히 해소되지 않는 질문이 남는다. 높은 안정성의 분리막이 배터리의 안전을 보장할 수 있을까?

 

분리막은 배터리의 안전을 담보할 수 있을까?

Inoue와 Mukai는 열폭주를 일으키는 요인에 관한 새로운 관점을 발표했다. NCM(니켈-코발트-망간) 양극을 사용하는 셀에서는 음극의 발열 반응이 더 주도적인 역할을 한다.

 

하지만 NCA(니켈-코발트-알루미늄) 양극을 적용한 셀에서는 양극에서 방출하는 에너지가 우세해지기 때문에 더 중요한 요인으로 고려돼야 한다고 제시한다. 

 

그러나 여기서도 줄 열(Joule Heat)에 의해 발생하는 내부 단락의 기여와 배터리 구성 요소 간의 상호 작용은 고려하지 않았다. 그렇기에 열폭주 메커니즘에 대해 여전히 논란의 여지가 있다.

 

리튬이온 배터리의 최적화된 보관과 안전성에 대한 특성을 개선하기 위해 셀과 구성 요소 모두에 대한 종합적이고 체계적인 분석이 필요하다. 

 

이 연구에서는 셀과 재료 수준 모두에서 메커니즘을 조사했다. 배터리 구성 요소로 흑연과 NCM(LiNi0.5Co0.2Mn0.3O2), PET/세라믹 분리막을 사용한 파우치형 배터리(25Ah)가 사용됐다.

 

▲ [그림 1] EV+ ARC로 측정한25Ah NCM 523/흑연 셀의 열폭주 온도 플롯

 

[그림 1]에서 볼 수 있듯이 자체 발열 온도인 T1 이전에는 15개의 가열 단계가 있다. 그 후 배터리의 자체 발열 반응이 시작된다. 처음에는 양극 표면의 SEI가 분해되고 전해액과 양극 표면이 반응해 열이 발생한 후 새로운 SEI 층을 형성한다. 

 

이런 현상으로 발열 단계는 T1 이후에 시작된다. 결과적으로 발열 반응은 치명적인 열폭주가 발생할 때까지 배터리 온도를 지속해서 상승시킨다.

 

열폭주 시작 온도는 T2로 표시되며 이 중요한 지점에서 배터리 온도는 기하급수적으로 증가한다. T2는 가열 속도가 1℃/s에 도달하는 지점으로 정의되며 이 경우 231℃다. T2 이후에는 배터리 온도가 급격하게 상승해 불과 몇 초 만에 최대 온도인 815℃에 도달한다.

 

전통적으로 ARC 테스트를 통해 온도는 배터리의 발열 반응과 열폭주 현상을 나타내는 유일한 관찰 매개변수다. 그러나 온도만으로는 포괄적인 셀의 화학 현상을 설명하기에 충분하지 않다.

 

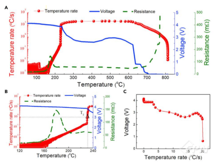
▲ [그림 2] 25Ah NCM 523/흑연 셀의 열폭주 특성 (A) 열폭주 동안 온도 상승률, 셀 전압ㆍ내부 저항 대 절대 온도 프로세스, (B) 열폭주 이전의 내부 저항에 초점을 맞춘 부분, (C) 열폭주 진행 중 셀 전압과 온도 속도 사이의 관계

 

[그림 2] (A)에서 열폭주 프로세스 동안 셀 전압이 2.0V 이상으로 유지된다는 점이 중요하다. 이는 배터리가 심각한 내부 단락 없이 열폭주로 이동한다는 증거다. 셀 내부 단락이 없는 열폭주에 대한 첫 번째 보고이기도 하다. 

 

그림 (C)에 표시된 것처럼 온도 증가율이 최대 20.1℃/s에 도달하면 셀 전압이 0으로 떨어진다. 이는 파우치 셀 내부의 양극과 음극의 층 사이에 열폭주로 열전이 현상이 발생한 것이다.

 

배터리 내부에는 모든 구성 요소가 지그재그인 병렬로 연결돼 있어 적층된 마지막 양극/음극에 열전이 현상이 발생할 때 셀 전압이 0으로 떨어진다.

 

▲ [그림 3] PET/세라믹 부직포 분리막의 구조ㆍ열적 특성 (A) 실온부터 450℃까지 열 안정성 테스트 후 PET/세라믹 분리막의 이미지

 

[그림 2]에서 셀 전압의 보존은 주로 PET/세라믹 분리막으로 인해 발생한다. [그림 3] (A)에서 알 수 있듯이 250℃에서 30분 동안 보관한 후에도 수축이 거의 나타나지 않았다.

 

셀 내부 저항은 [그림 2] (A)와 (B)에서 점선으로 표시된다. 열폭주 동안 저항 변화에는 일반적으로 4단계가 있다. 처음에는 145℃ 이전에 저항이 매우 느린 속도로 증가한다. 원래 셀 화학 현상은 이 단계에서 거의 변하지 않기 때문이다. 

 

145℃에서 175℃까지의 II 단계에서는 저항이 비례적으로 증가한다. 이렇게 큰 폭으로 증가한 데에는 세 가지 주요 이유가 있다. 

 

첫째, 파우치 셀은 123℃와 141℃ 사이에서 엄청나게 부풀어 오른 다음 약 145℃에서 고압으로 터지는데 셀 파열로 인해 전해액 증발이 가속화돼 저항이 급격히 증가할 수 있기 때문이다. 

 

둘째, 양극의 임피던스 증가 또한 셀 저항 증가에 기여할 수 있다. Xiong 등은 양극 임피던스가 60°C에서 저장 후 매우 증가한다고 보고했다. 셋째, 안정적으로 SEI 층이 분해되면서 표면의 무기 층이 증가해 이온 전도도가 감소할 수 있다. 

 

리튬이온 배터리의 각 구성 요소의 열적 안정성

▲ [그림 4] DSC 측정에 의한 충전된 배터리 부품의 열 발생 (A) 전해액이 없는 충전된 전극(CE), (B)전해액이 있는 충전된 전극(An: 음극, Ca: 양극, Ele: 전해액, CE, 충전된 전극)

 

탈리튬화된 양극만 279℃와 444℃에서 두 개의 발열 피크를 나타내며 Δ H2)는 각각 108Jg-1과 148Jg-1이다. 그러나 음극과 양극을 혼합하면 [그림 4] (A)의 빨간색 점선으로 표시된 것처럼 발열량(적분 피크 면적)이 엄청나게 증가(770J g-1)해 음극 단독의 값보다 7배 더 크다. 

 

전해액이 포함된 DSC 프로필은 [그림 4] (B)에 나와 있다. 전해액이 있으면 양극 발열 반응이 더 일찍 시작돼 261℃에서 Δ H값과 피크 강도가 각각 956Jg-1과 2.4Wg-1으로 증가한다.

 

그런데도 음극과 양극을 전해액과 결합할 때 발열 반응은 270℃에서 2.4Wg-1이고 272℃에서 87.8Wg-1로 엄청나게 늘어났다. 이는 전해액이 두 구성 요소에 거의 영향을 미치지 않음을 나타낸다. 전해액과 관계없이 양극과 음극을 함께 혼합하면 열 방출이 급격히 증가한다.

 

열 발생과 산소 방출은 모두 구조의 변화(상전이)와 관련된다. 표시된 대로 첫 번째 발열 피크는 200℃에서 시작되고 이어서 상전이가 나타나며 해당 산소 방출은 150℃에서 시작된다.

 

열 생성과 산소 방출 피크는 모두 276℃에 집중돼 있으며 이는 이 온도에서 심각한 상전이가 진행 중임을 나타낸다.

 

 

▲ [그림 5] 충전된 음극과 양극 사이의 화학적 혼선 (A) 충전된 양극만 단독으로 강한 산소 방출 피크를 나타내지만 음극/양극의 혼합물은 사실상 산소를 방출하지 않음. 하지만 같은 온도 범위에서 급격한 열 발생 증가 (B) 음극과 양극 사이에 제안된 화학적 혼선 과정의 예시

 

줄 열에 의해 유발된 내부 단락이 없으므로 이 산소 방출은 셀 수준에서 열폭주 발생을 이해하는 데 중요하다. 산소는 분리기를 통해 확산한 후 환원성이 높은 LixC 음극과 반응할 수 있다. 

 

음극/양극 분말의 혼합물을 STA-MS로 분석했다. 음극 단독ㆍ음극/양극 혼합물의 열 발생ㆍ산소 방출 프로파일은 [그림 5]에서 비교된다. [그림 5] (A)의 음극/양극 혼합물에 대한 MS(m/z=32) 플롯에 표시된 것처럼 첫 번째 276℃에서 양극의 산소 방출 피크는 시각적으로 사라졌다. 

 

이는 산소가 양극에 의해 소비됐음을 나타낸다. 결과적으로 산소 방출에 따라 276℃를 중심으로 한 양극만의 발열 피크가 7배 이상 증가한다. 

 

음극과 양극 사이의 이러한 화학적 누화와 그에 따른 열 발생 부스트에 대한 도식적 표현이 [그림 5] (B)에 나와 있다. 

 

충전된 양극만으로는 제한된 열 발생에 의한 상변화로 인해 상승된 온도에서 산소를 생성할 수 있다. 그러나 음극과 혼합하면 발열량이 증가한다. 

 

이 단계에서는 산소 가스, 반응제, 고온에 의해 전지 내부에서 발열과 열폭주가 집중적으로 발생한다. 열폭주가 발생하면 액체질소를 퍼지해도 반응이 효과적으로 중단되지 않는다. 

 

따라서 전기 자동차 등 모든 배터리 시스템의 안전성을 보장하려면 치명적인 열폭주 발생 전에 열 관리 전략을 구현해야 한다. 그렇지 않으면 열폭주가 발생해 배터리 내부의 양극에서 산소가 공급되기 때문에 최대 방열의 액체질소 퍼지로도 화재를 막을 수 없다.

 

내부 단락 없이 열폭주에 의한 화재 발생 가능

안정적인 분리막을 통해 줄 발열 발생으로 인한 내부 단락 가능성을 제거하고 실험한 결과 화학적 누화에 의한 발열이 발생하고 결국 열폭주로 이어질 수 있다는 걸 알 수 있었다.

 

층상 구조에서 스피넬 구조로의 상전이에 의해 충전된 양극만으로도 산소를 방출하고 열을 생성할 수 있다는 것이다. 그러나 양극과 음극을 혼합하면 산소 방출이 거의 없어도 발열량이 7배까지 증가한다. 따라서 양극에서 방출된 산소는 음극에서 소비되면서 엄청난 열을 발생시켜 열폭주 현상을 촉발한다. 

 

이러한 메커니즘은 복잡한 리튬이온 배터리 열폭주 현상에 대한 이해를 높일 수 있으며 내부 단락 없이도 화재가 발생할 수 있음을 시사한다. 부디 과학적인 근거가 우리가 행하는 모든 것들의 정당성과 힘이 될 수 있길 기원한다.

 

 


1) 줄(Joule, IF:39.8, JCR 상위 0.9%)은 생명과학 분야 저명 학술지 ‘셀(Cell)’을 펴내는 미국 셀 출판사(Cell press)의 저널이다.

2) Δ: 변화를 나타내는 기호, H: 엔탈피(반응 과정에서 발생하는 열 변화를 간단하게 나타내는 도구. 화학 반응의 열역학적 특성을 이해하고 예측하는 중요 개념. 화학공학, 화학 에너지 저장, 화학 반응 열량 측정 등 다양한 분야 활용), Δ H: 엔탈피의 변화 

 

참고 자료

1. Liu et al., Joule 2, 2018, 2047-2064

2. Lu, L et al., J. Power Sources 226, 2013, 272–288.

3. Sun, Y et al., Nat. Energy 1, 2016, 16071.

4. Chen, Z.H et al., Energ. Environ. Sci. 4, 2011, 4023–4030.

5. Choi et al., Nat. Rev. Mater. 1, 2016, 16013.

6. Rodrigues et al., Nat. Energy 2, 2017, 17108.

7. Inoue, T., and Mukai, K. Electrochem. Commun., 2017, 77, 28–31.

8. Miao et al., J. Power Sources 226, 2013, 82–86.

9. Roth, E.P et al., J. Power Sources, 2007, 174, 579–583

10. Mukai et al., J. Power Sources 366, 2017, 185–192.

11. Zhang et al., J. Electrochem. Soc., 2017, 64, A2738–A2745.

12. Li, J et al., J. Electrochem. Soc., 2017, 164, A1534–A1544.

13. Gaulupeau et al., J. Power Sources, 2017 342, 808–815.

14. Feng et al., Energy Storage Mater. , 2018, 10, 246–267.

15. Spotnitz et al., J. Power Sources, 2003, 113, 81–100.

16. Bodenes et al., J. Power Sources 236, 2013, 265–275.

17. Ouyang et al., J. Power Sources 294, 2015, 272–283.

18. Finegan et al., Energ. Environ. Sci. 10, 2017, 1377–1388.

19. Hammami et al., Nature 424, 2003, 635–636.

20. Campion et al., J. Electrochem. Soc. 152, 2005,  A2327.

21. Xiong et al., J. Electrochem. Soc. 164, 2017, A340–A347.

 

경기 구리소방서_ 강경석 : youeks@naver.com

 

<본 내용은 소방 조직의 소통과 발전을 위해 베테랑 소방관 등 분야 전문가들이 함께 2019년 5월 창간한 신개념 소방전문 월간 매거진 ‘119플러스’ 2024년 7월 호에서도 만나볼 수 있습니다.>

<저작권자 ⓒ 소방방재신문 (http://www.fpn119.co.kr) 무단전재 및 재배포 금지>

강경석의 리튬이온배터리(LIB) 이야기 관련기사

URL 복사
x
  • 위에의 URL을 누르면 복사하실수 있습니다.

PC버전 맨위로 갱신

Copyright FPN-소방방재신문. All rights reserved. 전송